A Preliminary Investigation of Lymphocyte-Sparing Radiation Therapy

Image credit: Charles-Etienne Gaudet

Abstract

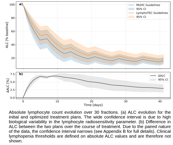
Radiation-induced lymphopenia is a frequent complication of external-beam radiation therapy, yet circulating lymphocytes are not taken into account during treatment planning. In this project, a computational pipeline combining automated organ segmentation, hematological dose calculation, and lymphocyte survival modelling was used to compare two radiation plans for lung cancer: an initial plan following MUHC guidelines and an optimized plan following the stricter LymphoTEC dose constraints. Absolute lymphocyte count evolution was modelled for both plans, showing that the optimized plan reduced anticipated lymphocyte depletion, consistent with decreased irradiation of highly vascularized organs. These results, which were statistically significant across repeated paired simulations, provide a preliminary investigation of the potential benefit of lymphocyte-sparing radiation therapy.

Type
Charles-Étienne Gaudet
Charles-Étienne Gaudet
Undergraduate Student